[定积分的性质]
[分部积分法]
式中
[变量替换法]
设函数在区间[
]上有连续的导数
,同时函数
在区间
上连续,并且
从
单调地变到
,则
[利用函数奇偶性求积法]
若为偶函数,则
若为奇函数,则
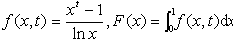
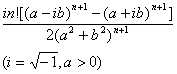
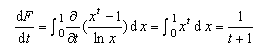
[利用积分对参数求导法] 设f(x,t)在有界区域上连续,并且存在连续偏导数
,则当
时,有
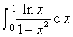
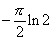
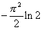
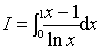
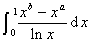
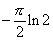
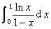
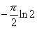
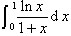
例 计算积分
解 设
则 .因
所以︳.
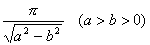
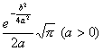
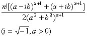
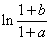
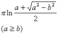
[定积分表]
定 积 分 |
定 积 分 值 |
|
|
|
|
|
|
定 积 分 |
定 积 分 值 |
|
|
|
|
|
|
|
|
|
|
|
|
|
|
|
|
|
|
|
|
|
|
|
|
|
|
|
|
|
|
|
|
定 积 分 |
定 积 分 值 |
|
|
|
|
|
|
|
|
|
|
|
|
|
|
|
|
|
|
|
|
|
|
|
|
|
|
|
|
|
|
|
|
|
|
|
|
|
|
定 积 分 |
定 积 分 值 |
|
|
|
|
|
|
|
|
|
|
|
|
|
|
|
|
|
|
|
|
|
|
|
|
|
|
|
|
|
|
|
|
|
|
|
|
|
|
|
|
定 积 分 |
定 积 分 值 |
|
|
|
|
|
|
|
|
|
|
|
|
|
|
|
|
|
|
|
|
|
|
|
|
|
|
|
|