4. 三角函数的基本关系和公式
[诱导公式]
三角函数的诱导公式表
函数 角 |
sin |
cos |
tan |
cot |
sec |
csc |
|
|
|
|
|
|
|
|
|
|
|
|
|
|
|
|
|
|
|
|
|
|
|
|
|
|
|
|
|
|
|
|
|
|
|
|
|
|
|
|
|
|
表中n为整数.
[基本关系]
三角函数的相互关系表
|
|
|
|
|
|
|
|
|
|
|
|
|
|
|
|
|
|
|
|
|
|
|
|
|
|
|
|
|
|
|
|
|
|
|
|
|
|
|
|
|
|
|
|
|
|
|
|
|
例如,若,则
[加法公式]
[和差与积互化公式]
[倍角公式]
式中n为正整数.
[半角公式]
下列公式中根号所取符号与等号左边的符号一致.
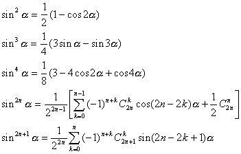
[降幂公式]
以上式中的n为正整数.
[三角函数有限和公式]