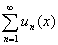
3.函数级数的运算及其条件
|
运 算 |
表 达 式 |
条 件 |
|
级数和的连续性 |
|
(i) (ii) |
|
逐项相加减 |
= (a≤x≤b) |
|
|
相乘 |
= 其中 (a≤x≤b) |
|
|
逐项取极限 |
= (a≤ |
(i) (ii) |
|
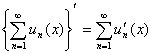
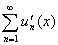
逐项微分 |
(a≤x≤b) |
(i) 而且有连续的导数 (ii) (iii) |
|
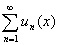
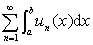
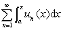
逐项积分 |
=
= 对于[a,b]上的一切点x一致成立 |
(i) (ii) |