第三节 多组资料的比较《预防医学》

第三节 多组资料的比较

H检验(Kruskal-Wallis法)是用于完全随机设计的多个样本比较的非参数法。其具体步骤见例21.3。

例21.3 某地监测大气中SO2的日均浓度,按不同功能区设置采样点,结果见表21-4“浓度”栏所示,问各功能区SO2日均浓度有无差别?

表21-4 某地1990年1月份SO2日均浓度(μg/m3

对照区工业区商业区居民区
浓度(1)秩次(2)浓度(3)秩次(4)浓度(5)秩次(6)浓度(7)秩次(8)
101467923163387
30266515501113528
3037091863013.548510
404802196691651112
515851206771763013.5
Ri15 81 63.5 50.5
ni5 5 5 5

(一)建立假设

H0:四个功能区SO2日均浓度总体分布相同

H1:四个功能区SO2日均浓度总体分布不同或不全相同

α=0.05

(二)编秩

先将各组数据由小到大排列,再将各组数据由小到大统一编秩,不同组的相同数据取其平均秩次。如本例有2个630,分别在第(5)、(7)栏,其平均秩次为(13+14)/2=13.5。

(三)求各组秩和(Ri

分别将各组秩次相加得Ri

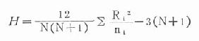
(四)计算统计量H值

按式(21.4)计算。式中ni为各组观察值个数,N=Σni

公式(21.4)

本例

(五)确定P值,作出推论

若组数K=3,每组例数≤5,可查附表21-3“秩和检验用H界值表”得出P值;若超出附表21-3的范围,可按v=k-1查x2界值表得出P值。本例k=4,超出附表21-3范围,按v=4-1=3查x2界值表,x20.01(3)=11.34,P<0.01,按α=0.05检验水准拒绝H0,可认为四种功能区SO2日均浓度有差别。

上一页:第二节 两组资料的比较
当前页:第三节 多组资料的比较
下一页:附表21-1 符号秩和检验临界值表

返回目录