氨苯蝶啶及阿米洛利《药理学》

氨苯蝶啶及阿米洛利

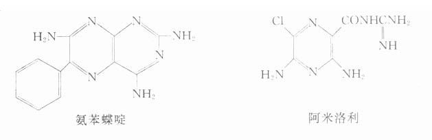
氨苯蝶啶(triamterene,三氨蝶啶)及阿米洛利(amiloride,氨氯吡脒)虽化构不同,却有相同的药理作用,它们的化学结构如下:

氨苯蝶啶及阿米洛利

二药作用于远曲小管及集合管,阻滞Na+通道而减少Na+的再吸收,因而可发挥较弱的利尿作用。同时K+的排泄减少。当醛固酮分泌量过多时,或与其他利尿药合用时,其留钾作用更为明显,二药作用并非竞争性拮抗醛固酮所致。因它们对切除肾上腺的动物仍有留钾利尿作用。现认为是药物抑制远曲小管及集合管对K+的分泌所致。但原始作用仍是减少Na+的再吸收,由于Na+的再吸收减少,使管腔的负电位减小,管腔内外电位差下降,乃使钾分泌的驱动力减小。在远曲小管阿米洛利还抑制钙的排泄,这一作用也是与抑制Na+再吸收相偶联的。

【不良反应】二药长期服用均可引起高血钾症。肾功能不良者、糖尿病者、老人较易发生。其中氨苯蝶啶还抑制二氢叶酸还原酶,引起叶酸缺乏。肝硬化病人服用此药可发生巨幼红细胞性贫血,偶可引起高敏反应及形成肾结石。

上一页:螺内酯
当前页:氨苯蝶啶及阿米洛利
下一页:三、利尿药的临床应用

返回目录