2.  双曲型方程的黎曼方法

    考虑拉普拉斯双曲型方程

    [古沙问题的特征线法]  古沙问题是

a(x,y),b(x,y),c(x,y),f(x,y)为连续函数;连续可微且,令

则古沙问题化为下面积分方程组的求解问题

 

 

 

 

14.6

    它可用逐次逼近法求解,显然x=x0,y=y0为拉普拉斯双曲型方程的特征线,所以此法也称为特征线法.

    [广义柯西问题的黎曼方法]  广义柯西问题是

    a(x,y),b(x,y),c(x,y), 1(x)(x)为连续可微函数,且'(x)0,而f(x,y)2(x)为连续函数.

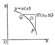
    M(x0,y0)不是y=(x)上的点,过点M作特征线x=x0,y=y0y=(x)PQ,记曲边三角形PMQD(图14.6),在D上用格林公式(本节,四)得

    v(x,y;x0,y0)为下面古沙问题的解:

那末广义柯西问题解的黎曼公式为

式中v(x,y;x0,y0)称为黎曼函数,这个方法称为黎曼方法.

    一般可用特征线法求黎曼函数.但对常系数偏微分方程

      c为常数)

也可用下法求黎曼函数.v=v(z),则方程化为贝塞耳方程

黎曼函数就是满足此贝塞耳方程及条件v(0)=1的零阶贝塞耳函数,

对常系数的拉普拉斯双曲型方程通过变换可化为

的形式,它的黎曼函数就是上式.