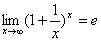
4.一些重要函数的极限
|
函数与图形 |
极限与特征 |
|
|
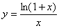
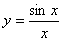
曲线关于y轴对称 极限
[注] |
|
|
曲线关于y轴对称 极限 |
|
|
渐近线 y=e和x=-1 极 限
[注] |
|
|
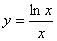
极小点 极 限
[注] |
|
|
极大点 A(e,
拐 点
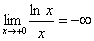
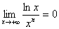
B( 渐近线 y=0和x=0 极 限
[注] |
|
|
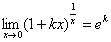
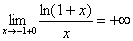
渐近线 y=0和x=-1 极 限
|
|
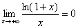
|
与y轴交点O(0,0),该点切线斜率为1 极大点 A(1, 拐 点
B(2, 渐近线 y=0 极 限
[注] |
|
|
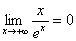
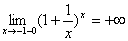
曲线由两支组成 不连续点 x=0 渐近线 y=x+1 极 限 |
|
|
不连续点 x=0 渐近线 y=1和x=0 极 限
|