[特征值与特征矢量] 对n阶方阵
A=
和n维非零列矢量
=(a1,a2,...,an)t
如果有一个数λ,使得
Aα=λα
则称λ为矩阵A的特征值(特征根),α为矩阵A的特征值λ所对应的特征矢量.
矩阵A的所有特征值中绝对值最大的一个称为A的第一特征值.
[特征矩阵· 特征多项式· 特征方程] n阶方阵
A=
的特征矩阵定义为
![]()

式中I为n阶单位矩阵.行列式|A-λI|称为矩阵A的特征多项式,记作
j(l)=|
λI|
方程
j(l)=0
称为矩阵A的特征方程.
[矩阵的迹与谱] n阶方阵A的主对角线上各元素之和称为A的迹,记作
![]()
特征方程j(l )=0的n个根l 1,l 2,...,l n就是矩阵A的n个特征值.集合{l 1,l 2,...,l n }称为矩阵A的谱,记作chA.
线性齐次方程组
![]()
的非零解a 便是矩阵A的特征值l i所对应的特征矢量.
[特征值与特征矢量的性质]
1° 设l 1,l 2,...,l n为n阶方阵A的n个特征值,则
Ak的特征值为
(k为正整数).
A的逆矩阵A-1的特征值为
.
A的伴随矩阵A*的特征值为
.
2° n阶方阵A的n个特征值之和等于A的迹,矩阵A的n个特征值之积等于A的行列式,即
l1+l2+...+ln=a11+a22+...+ann
![]()
由此可以推出矩阵可逆的另一充分必要条件是:A的所有特征值都不为零.
3° 若li是特征方程的k重根,则对应于li的线性无关的特征矢量的个数不大于k.当li为单根时,对应于li的线性无关特征矢量只有一个.
4° 矩阵A的不同特征值所对应的特征矢量线性无关.
若n阶方阵A对应于特征值l1,l2,...,ls的线性无关的特征矢量分别有k1,k2,...,ks个,则这
个特征矢量线性无关,且
.
5° 实对称矩阵的特征值都是实数,并且有 n个线性无关(而且是正交)的特征矢量.
6° 矩阵的特征值在相似变换下保持不变,特别,At 与A具有相同的特征值.
[求第一特征值的迭代法] 在实际问题中,往往不要求算出矩阵A的全部特征值,只需算出第一特征值,用迭代法计算如下:
![]()
假定当
时,可以认为a(k)
≈a(m+1),那末迭代到
即可.这时
为矩阵A的第一特征值的近似值,a(m+1)为所对应的特征矢量.
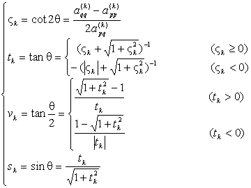
[求实对称矩阵的雅可比法] 设n阶实对称矩阵A=(aij)的特征值是l1,l2,...,ln,则必存在一正交矩阵Q,使得
Qt AQ=
为对角矩阵.正交矩阵Q可用一系列旋转矩阵的积来逼近:
Q=![]()
式中

取

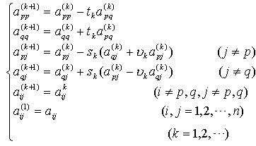
因为在这种旋转变换下,消去了矩阵中位于第p行第q列(p¹ q)交点上的元素(见本节,五),而矩阵所有元素的平方和保持不变,而且对角线上的元素的平方和增大,因而非对角线元素的平方和随之减小,因此,当旋转次数足够大时,可使非对角线元素的绝对值足够小.对于预先给定的精度e >0,如果|aij|<e (i¹ j),则可认为aij≈0.于是得到求矩阵A的特征值与特征矢量的具体迭代方法.
1° 按以下递推公式求特征值l1,l2,...,ln:


假定当
时,可以认为
,则迭代到
即可.而取
作为li的近似值:
![]()
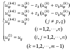
2° 求特征矢量从1°有
=
记
Pm=U1…Um-1Um
则
APm= Pm
所以Pm为特征矢量矩阵.
Pm由下列递推公式算出:

最后得到 ![]()
即 ![]()
为对应于特征值l i的特征矢量的近似值.
[求对称三对角矩阵特征值的方法]
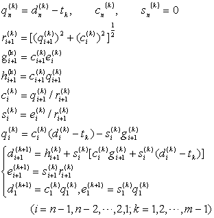
1° 相似变换法 设A为n阶对称三对角矩阵:
A=
(1)
经过相似变换
![]()
式中I为单位矩阵,tk为适当选定的常数,Ui为雅可比旋转矩阵:

为Ui的转置矩阵.又A1=A,Ak+1与
I相似,且Am与
相似.因此,若Am的特征值为
,则A1的特征值l
i(i=1,2,...,n)为
(i=1,2,…,n)
假定当
时,可认为
,那末可适当选择si,ci,使得当m充分大时,Am在该精度下化为对角线矩阵;其特征值
.
(i=1,2,...,n)可由下列递推公式算出:

tk的选择对收敛速度影响较大,取tk为二阶矩阵

的接近于
的那个特征值,即
tk =
式中 ![]()
2° 二分法 设A为n阶对称三对角矩阵(如(1)式),对任意l ,设序列
q1(l )=d1?l
qi(l )=![]()
中qi(l )<0的个数为N(l )(在这些关系式中,对于某些i,如果qi-1(l )=0,则只需用适当小的数代替即可),则N(l )等于矩阵A 的小于l 的特征值的个数.
假定矩阵A的第k个特征值lk(l1≤l2≤…
≤lk≤…≤ln)
在区间[u,
]中,令
,当N(r1)≥k时,则l
kÎ [u,
r1];当N(r1)<k时,则lkÎ
[ r1,
];…依此类推,m步之后,l
k包含在宽度为
的区间中.m充分大时,便可得到所求的特征值.